দাঁত দেখে গরুমহিষের বয়স নির্ণয় করা

আমাদের আজকের আর্টিকেলটি দাঁত দেখে গরুমহিষের বয়স নির্ণয় করা সম্পর্কে – যা বাউবি বিএজএড ২৩০৪ গৃহপালিত পশুপালন ইউনিট – ৮ এর অন্তর্ভুক্ত |

দাঁত দেখে গরুমহিষের বয়স নির্ণয় করা

গরুমহিষ লালনপালন করার জন্য এদের বয়স নির্ণয় করা একান্ত প্রয়োজন। কারণ বয়স বৃদ্ধির সঙ্গে পশুর দৈহিক বৃদ্ধি, উৎপাদন ও কর্মক্ষমতার যোগসূত্র রয়েছে। যেমন- গাভী তৃতীয় বিয়ানে (প্রায় ৫-৬ বছর) সর্বোচ্চ পরিমাণ দুধ উৎপাদন করে । কাজেই পশুপালনকারী, প্রজননকারী, বিক্রেতা ও ক্রেতার জন্য পশুর বয়স জানা একান্ত প্রয়োজন। এছাড়াও বয়সের তারতম্যের কারণে পশুর রোগব্যাধির প্রাদুর্ভাব ও তীব্রতার তারতম্য ঘটে। তাছাড়া পশুর রোগ নির্ণয়, চিকিৎসা, দেহে সঠিকমাত্রায় ওষুধ প্রয়োগ প্রভৃতির জন্যও বয়স জানা প্রয়োজন।

বয়স নির্ণয়ের নির্ভরযোগ্য উপায় হচ্ছে সকল পশুর জন্মতালিকা প্রস্তুত করা ও তাতে জন্ম ও জন্ম পরবর্তী সকল তথ্য সন্নিবেশ করা। কিন্তু আমাদের দেশে পশুপালনে এখনও আধুনিকতার তেমন ছোঁয়া লাগে নি বলে গবাদিপশুর বয়স নির্ণয়ে আধুনিক কোনো পদ্ধতির প্রয়োগই হয় না। বর্তমানে এদেশের গ্রামেগঞ্জে, এমনকী খামার পর্যায়েও দাঁত দেখার মাধ্যমে গবাদিপশুর বয়স নির্ণয় করা হয়। দাঁত দেখার মাধ্যমে সব সময় সঠিকভাবে পশুর বয়স নির্ণয় করা সম্ভব হয় না।

এই পদ্ধতিতে পশুর বয়স সম্বন্ধে অনুমান করা যায় মাত্র। কিন্তু এদেশে গবাদিপশুর বয়স নির্ণয়ে এই পদ্ধতিটিই বহুল প্রচলিত। গরু, মহিষ, ছাগল, ভেড়া প্রভৃতি রোমান্থনকারী পশুর দাঁতের সাহায্যে বয়স অনুমান করার জন্য এদের দাঁত সম্বন্ধে কিছু জ্ঞান থাকা প্রয়োজন। রোমন্থনকারী পশুর দুধরনের দাঁত থাকে। যথা- অস্থায়ী ও স্থায়ী দাঁত ।

অস্থায়ী দাঁত (Deciduous teeth ) :

পশুর প্রথম সেট দাঁতকে অস্থায়ী দাঁত বলে। জন্মের পর থেকেই এই দাঁত গজানো শুরু হয়। এমনকী রোমান্থনকারী পশু জন্মের সময় বেশ ক’টি দাঁত নিয়ে জন্মায়। নির্দিষ্ট সময় ও নিয়মে ক্রমান্বয়ে প্রথম সেটের দাঁত পড়ে যায় ও দ্বিতীয় সেটের দাঁত গজায়। একারণে অস্থায়ী দাঁতকে দুধে দাঁত (milk teeth) বা পতনশীল দাঁত (deciduous teeth) বলে। গরুমহিষের অস্থায়ী দাঁতের সংখ্যা ২০। দেড় থেকে দু’বছর বয়সের পরে অস্থায়ী দাঁত পড়া শুরু করে ও নতুন স্থায়ী দাঁত (permanent teeth) গজায়।

স্থায়ী দাঁত (Permanent teeth) :

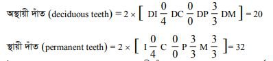
পশুর বয়স বাড়ার সঙ্গে সঙ্গে অস্থায়ী দাঁত পড়ে যে নতুন দাঁত গজায় তাদের স্থায়ী দাঁত বলে। স্থায়ী দাঁতের সংখ্যা অস্থায়ী দাঁতের থেকে বেশি। গরুমহিষের স্থায়ী দাঁতের সংখ্যা ৩২। গরু, মহিষ, ছাগল, ভেড়া প্রভৃতি গবাদিপশুর উপরের চোয়ালের সামনের দিকে কোনো দাঁত নেই। বরং সেখানে একটি শক্ত প্যাড (pad) থাকে। সামনের দিক থেকে পেছনের দিকে মোট তিন ধরনের, যথা- কর্তন (incisor), চর্বন বা প্রাক-পেষণ (premolar) এবং পেষণ (molar) দাঁত থাকে। এদের কোনো ছেদন দাঁত বা শ্বদন্ত (canine) থাকে না। গরু, মহিষ, ছাগল ও ভেড়ার অস্থায়ী ও স্থায়ী দাঁতের সংখ্যা নিলিখিত দন্ত সুত্র দিয়ে প্রকাশ করা যেতে পারে ।

 

দাঁত দেখে গরুমহিষের বয়স নির্ণয় করা

 

 

[এখানে, D = deciduous teeth বা অস্থায়ী দাঁত, ও = incisor teeth বা কর্তন দাঁত, C = canine teeth বা ছেদন দাঁত, P = premolar teeth বা প্রাক-পেষণ দাঁত, M = molar teeth বা পেষণ দাঁত]  কর্তন দাঁতের মোট সংখ্যা ৮ এবং এগুলোকে মোট চারভাগে ভাগ করা যায়। যথা- কেন্দ্রিক (central), প্রথম মধ্যক (first intermediate), দ্বিতীয় মধ্যক (second intermediate) এবং কৌণিক (corner)। প্রাক-পেষণ এবং পেষণ দাঁতকে একসঙ্গে চোয়ালের দাঁত ( cheek teeth ) বলে এবং এদের মোট সংখ্যা ২৪। প্রত্যেক চোয়ালে যথাক্রমে ৩টি করে প্রাক-পেষণ ও পেষণ দাঁত থাকে । গরুমহিষের বয়স বৃদ্ধির সাথে সাথে যেভাবে অস্থায়ী দাঁত ওঠে, সেগুলো পড়ে গিয়ে সেখানে স্থায়ী দাঁত গজায় বা স্থায়ী দাঁত ক্ষয় হয় তা সারণি ৩৮ ও ৩৯-এ দেখানো হয়েছে।

 

সারণি ৩৮ : গরুমহিষের অস্থায়ী দাঁত ওঠা এবং সেগুলো পড়ে গিয়ে স্থায়ী দাঁত গজানোর বয়স

 

দাঁত দেখে গরুমহিষের বয়স নির্ণয় করা

 

সারণি ৩৯ : গরুমহিষের স্থায়ী কর্তন দাঁত ক্ষয় হওয়ার বয়স

 

দাঁত দেখে গরুমহিষের বয়স নির্ণয় করা

Leave a Comment